Milyen gyorsan hagyják el a szülői fészket a neutroncsillagok?

Milyen gyorsan hagyják el a szülői fészket a neutroncsillagok?

2025 október 22
| Szerző: Ujhelyi Borbála, Kutatási asszisztens
A neutroncsillagok nem maradnak sokáig egyhelyben a születésük után. Egy új kutatás fényt derít arra, hogy milyen gyorsan repülnek ki a fészekből.

1. ábra: Művészi illusztráció egy neutroncsillagról. Forrás: ESA
1. ábra: Művészi illusztráció egy neutroncsillagról. Forrás: ESA

Az emberi újszülöttnek több év szülői gondoskodásra és támogatásra van szüksége, mielőtt kilépne a nagyvilágba. Ez zavarba ejtően hosszú folyamat az állatokhoz, például a szarvashoz vagy lóhoz képest, amelyek kicsinyei percekkel a születésük után már képesek járni. Az újszülött neutroncsillagok, amelyek a Világegyetem legsűrűbb égitestjei közé tartoznak, a Föld bármely állatát lekörözik önállóságban: egy szupernóva-robbanásban történt heves születésüket követően ezek a csillagok másodpercenkénti több száz kilométeres sebességgel hagyják el a helyszínt.

Ezek a születéskori „rúgások”, ahogy a szakirodalom, és a legújabb tanulmányt jegyző, Paul Disberg és Ilya Mandel (Monash University) hivatkozik rájuk, természetes velejárói a neutroncsillagok keletkezésének. Amikor egy nagy tömegű csillag kifogy a tüzelőanyagból, és megadja magát saját gravitációjának, összeomlik, a magja neutroncsillaggá préselődik, majd ismét felrobban. Az összeomlás sosem tökéletesen szimmetrikus, és ez az enyhe egyensúlyhiány lökést ad a neutroncsillagnak.

2. ábra: A Hubble-űrtávcső és a Herschel Űrobszervatórium felvétele a Rák-ködről, ami egy szupernóva-robbanás maradványa. Forrás: ESA/Herschel/PACS/MESS Key Programme Supernova Remnant Team; NASA, ESA and Allison Loll/Jeff Hester (Arizona State University), https://science.nasa.gov/missions/herschel-space-observatory/crab-nebula-as-seen-by-herschel-and-hubble/
2. ábra: A Hubble-űrtávcső és a Herschel Űrobszervatórium felvétele a Rák-ködről, ami egy szupernóva-robbanás maradványa. Forrás: ESA/Herschel/PACS/MESS Key Programme Supernova Remnant Team; NASA, ESA and Allison Loll/Jeff Hester (Arizona State University), https://science.nasa.gov/missions/herschel-space-observatory/crab-nebula-as-seen-by-herschel-and-hubble/

Ezeknek a „rúgásoknak” a jellegzetes sebességeit megmérve a csillagászok képesek következtetni arra, hogy mennyire volt aszimmetrikus a robbanás, de egyéb információkat is szerezhetnek a szupernóva legkorábbi pillanatairól. Bár egy ilyen kis égitest sebességét megmérni a galaxis túlsó oldalán nem egyszerű feladat, a kutatók mégis felvették a kesztyűt. Tanulmányukat a The Astrophysical Journal Letters című lap közölte.

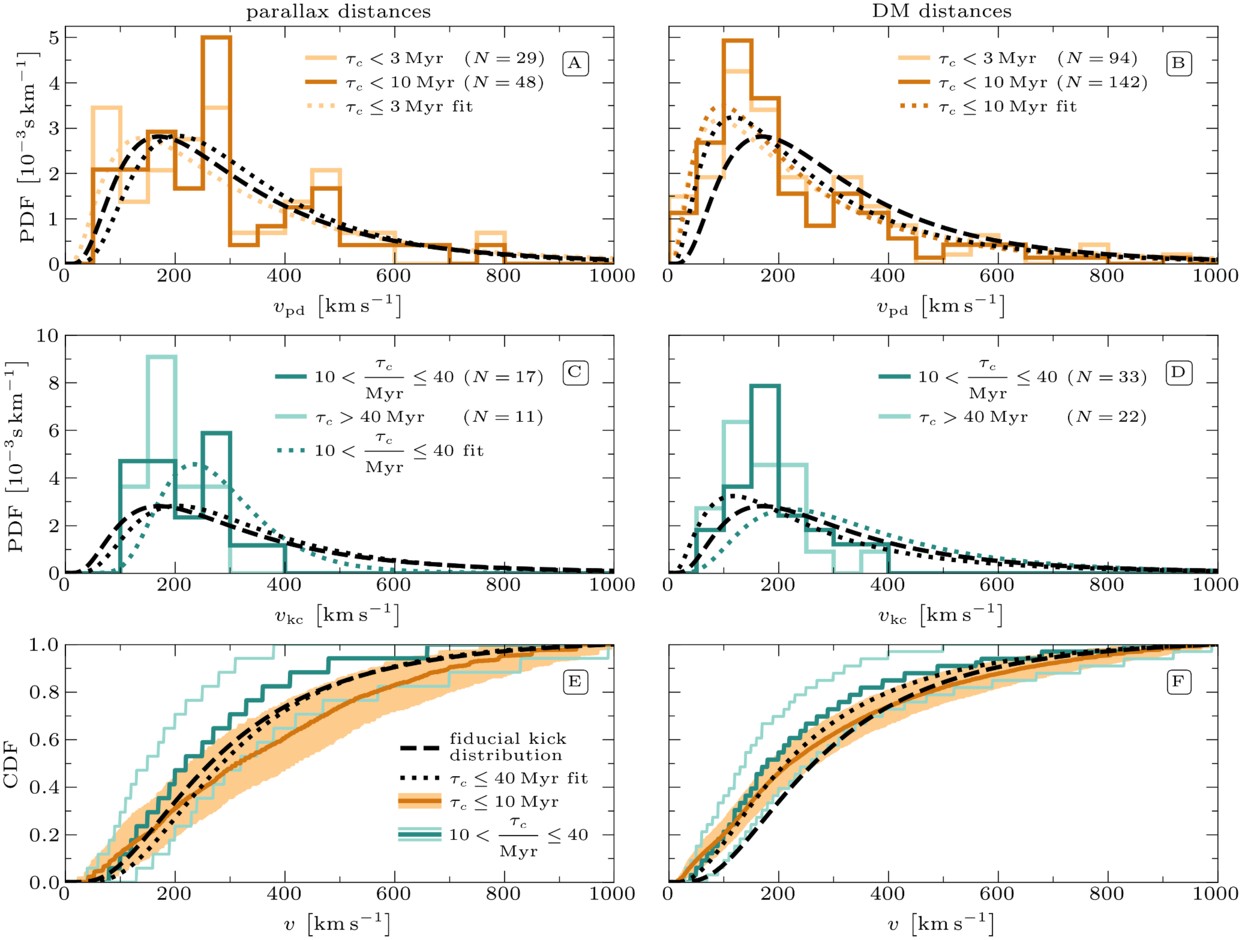
Elsőként a csillagászati mércével mérve nagyon fiatal, legfeljebb 10 millió éves neutroncsillagokkal kapcsolatos méréseket vizsgálták át. Mivel ezeknek az égitesteknek nem volt még idejük lelassulni, és pályájukra nem voltak még hatással mellettük elhaladó csillagok vagy a galaktikus árapály, a jelenlegi sebességük elméletileg megegyezik azzal, amire születésükkor szert tettek. A kutatók azt találták, hogy míg minden neutroncsillag egyedi kezdeti sebességgel rendelkezik, a sebességek eloszlása log-normális eloszlást mutat egyetlen, közel 150-200 km/s-os csúccsal.

3. ábra: A mért rúgási sebességek (hisztogramok) és az illeszkedő eloszlások (görbék) a különböző alminták esetében. Forrás: Disberg & Mandel 2025
3. ábra: A mért rúgási sebességek (hisztogramok) és az illeszkedő eloszlások (görbék) a különböző alminták esetében. Forrás: Disberg & Mandel 2025

A kutatók ezután az idősebb neutroncsillagok sebesség-eloszlását vizsgálták meg egy másik módszerrel, és kiderült, hogy meglepően hasonlít a fiatalabb csillagok eloszlására. Végül újraelemezték a korábbi tanulmányok adatait, amelyek saját modellekkel vizsgálták a rúgások eloszlását. Bár ezek közül több kutatás is ellentmondott egymásnak, a csapat megállapította, hogy az eltérések magyarázhatók a mintaégitestek különböző méreteivel és téves statisztikai értelmezésekkel is. Összességében a legújabb kutatásban kapott eloszlás jól illeszkedett az összes rendelkezésre álló adathoz.

A jövőben más csillagászok, akik a szupernóvák, a galaxison belüli pályák és a kettőscsillagok evolúciójának modellezésével foglalkoznak, felhasználhatják ezt az eloszlást modelljeik ellenőrzésére vagy más szimulációk bemeneti adataként. Egyre több olyan tanulmány lát napvilágot, amelyek mindegyike a galaxis valamely tulajdonságának számszerűsített mérési eredményét tartalmazza, így egyre teljesebb képet kapunk Univerzumunkról, valamint egyre több modellt és előrejelzést tudunk készíteni.

 

Forrás: https://aasnova.org/2025/09/24/kicking-neutron-stars-from-the-nest

Az eredményeket bemutató szakcikk: https://iopscience.iop.org/article/10.3847/2041-8213/adf286

Szerző: Ujhelyi Borbála, Kutatási asszisztens
CSFK Konkoly-Thege Miklós Csillagászati Intézet